新手上路
主題
主題
全部主題
學習法
學習方法 (215)
公職考試
高普考 (556)
鐵路特考 (916)
初等/地方特考 (351)
司法特考 (53)
移民特考 (10)
關務/稅務特考 (55)
民航特考 (20)
國安局/調查局 (14)
身心障礙特考 (36)
原住民特考 (12)
外交特考 (10)
海巡特考 (7)
就業考試
中華郵政 (1441)
捷運公司 (146)
銀行考試 (240)
農漁會 (58)
國營事業 (213)
中華電信 (86)
台電公司 (157)
臺灣菸酒 (162)
中油公司 (180)
自來水公司 (101)
中鋼/中鋁/中龍鋼/中碳 (67)
農田水利會 (75)
漢翔航空 (31)
臺灣港務公司 (36)
台糖公司 (27)
其他 (108)
金融證照
期貨/證券 (57)
投信投顧/信託 (13)
理財規劃 (25)
內控 (4)
授信/外匯 (6)
債券/票券 (1)
股務人員 (1)
專技/技術證照
導遊領隊 (45)
記帳士 (7)
不動產經紀人 (13)
地政士 (7)
消防設備人員 (4)
報關人員 (5)
技術士檢定 (35)
社工師 (5)
食品技師 (6)
人身保險業務員 (5)
軍警考試
一般警察/警察特考 (101)
警專/警大 (33)
軍士官/預官 (9)
軍校招考 (12)
升學考試
升高中 (11)
升大學/轉學考 (34)
升科大四技 (5)
研究所 (6)
國貿類
國貿大會考 (3)
專責報關人員 (0)
教育師資
公幼教保人員 (8)
公幼教師甄選 (2)
教師甄試 (14)
語言檢定
全民英檢 (5)
TOEIC多益 (5)
資訊平台
就業資訊 (8)
金融議題 (1)
鼎文學員專區
密集班 (0)
一般班 (0)
其他
其他 (3640)
老師
發問
登入
註冊
高普考考古題 105年 高考通信與系統
高普考考古題
105年 高考通信與系統
主題分類
學習法
學習方法
公職考試
高普考
鐵路特考
初等/地方特考
司法特考
移民特考
關務/稅務特考
民航特考
國安局/調查局
身心障礙特考
原住民特考
外交特考
海巡特考
就業考試
中華郵政
捷運公司
銀行考試
農漁會
國營事業
中華電信
台電公司
臺灣菸酒
中油公司
自來水公司
中鋼/中鋁/中龍鋼/中碳
農田水利會
漢翔航空
臺灣港務公司
台糖公司
其他
金融證照
期貨/證券
投信投顧/信託
理財規劃
內控
授信/外匯
債券/票券
股務人員
專技/技術證照
導遊領隊
記帳士
不動產經紀人
地政士
消防設備人員
報關人員
技術士檢定
社工師
食品技師
人身保險業務員
軍警考試
一般警察/警察特考
警專/警大
軍士官/預官
軍校招考
升學考試
升高中
升大學/轉學考
升科大四技
研究所
國貿類
國貿大會考
專責報關人員
教育師資
公幼教保人員
公幼教師甄選
教師甄試
語言檢定
全民英檢
TOEIC多益
資訊平台
就業資訊
金融議題
鼎文學員專區
密集班
一般班
其他
其他
申論題型
0討論
0留言
0追蹤
問題討論
1. 希爾柏轉換(Hilbert Transform),可將訊號
x
(
t
)轉換為
,其定義如下:
(一)求
的希爾柏轉換。
(二)求
的希爾柏轉換。
(三)求
0討論
0留言
0追蹤
問題討論
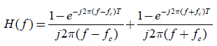
1. 一匹配濾波器 (matched filter) 有以下的頻率響應:
其中
T
為取樣時間,
f
c
為某頻率,符合
f
c
=
n
/
T
,且
n
> 1為整數。(一)求相對於
H
(
f
)之脈衝響應
h
(
t
)。(二)求匹配濾波器所匹配的訊號。
0討論
0留言
0追蹤
問題討論
1. 考慮下圖所示兩個訊號集合A及B,每個集合都可用於等機率二元傳輸 (binary transmission)之基頻訊號,其中
T
代表一個傳送符元區間(symbol interval),
A
為振幅大小。假設訊號經過可加白色高斯(AWGN)通道,功率頻譜密度為
N
0
/2。
(一)求訊號集合A及B之平均能量。
(二)接收端若使用最大相似檢測(maximum likelihood detector),求使用訊號集合A之錯誤率。
(三)接收端若使用最大相似檢測(maximum likelihood detector),求使用訊號集合B之錯誤率。
(四)訊號集合A或B有較佳之錯誤率表現?
0討論
0留言
0追蹤
問題討論
1. 一通道(channel)可以表示為條件機率
P
(
Y
=
y
|
X
=
x
),其中
X
及
Y
分別代表通道輸入隨機變數及通道輸出隨機變數。假設該通道有兩個輸入符元{0, 1},輸出符員為{0, e, 1}。其條件機率如下:
此通道一般稱之為二元刪除通道(Binary Erasure Channel, BEC)。
(一)考慮通道編碼 (Channel Coding) 使用長度為2之重複碼 (repetition code),也就是使用碼集合為
C
= {[0, 0], [1, 1]}在BEC上進行傳輸。若接收向量為[1,
e
],求最大相似(maximum likelihood, ML)碼字。
(二)承(一),若使用最大相似解碼,則平均解碼錯誤率為何?
愛舉手問答平台